(文/Bin Huo,产品应用工程师)
摘要
电机故障或异常导致的电机效率下降可能会持续很长时间,并会造成重大经济损失,因此已愈发受到关注。本文介绍了常见的电机故障如何影响电机运行效率,同时探讨了预测性诊断维护解决方案OtoSense™智能电机传感器(SMS)如何确保电机高效运行。文中提供了两个案例研究,展示了OtoSense™ SMS应用如何降低二氧化碳排放和能源成本。
引言
工业4.0被视为制造业的新时代,融合了技术、机器人、人工智能和自动化,以打造出高效且富有成效的制造工艺。工业用例占全球能源使用量的30%,其中70%是由电机消耗的。如果电机以最高效率运行,全球电力消耗有望减少10%。1但要怎样才能做到?事实证明,借助状态监控和预测性维护(CbM/PdM)来提升运营效率,能够在生产力、质量、物流管理等层面优化绩效,助力达成可持续发展指标。ADI公司OtoSense™智能电机传感器(SMS)技术是当今市场上先进的CbM/PdM技术。本文概述了OtoSense SMS技术如何使电动机运行更加节能。
电机效率和电机健康状况
近年来,鉴于电机耗电量颇高,厂商投入了巨大努力来设计更高效率的感应电机。但有一个对电机效率影响显著的因素却常常遭到忽视。通常,工业电机的运行效率处于50%至85%区间。2电机健康状况不佳会导致其能效显著降低。制造商提供的额定效率值仅在电机处于理想状态时才有效,即电机运行过程中没有明显异常、缺陷或故障的情况下。如果机器出现故障,即使处于故障早期,电机效率也会随之降低。
众所周知,电机效率指的是电机的有用功率输出与总功率输入的比值。图1展示了电能输入转化为机械能输出的过程及相关的能量损耗,其中包括固有功率损耗和异常功率损耗。公式1计算了电机效率:

图1.电机能量转换效率。

电机的功率损耗主要分为两种:
► 固有功率损耗
包括铜损耗(电阻、趋肤效应)、铁损耗(涡流、磁滞)和机械损耗(摩擦、风阻)。固有功率损耗可在电机设计阶段得以降低。
► 异常功率损耗
包括电机状况不佳导致的额外功率损耗,例如表1中列出的任意一种或多种电机故障。通过使电机保持在最佳运行状态,可以将异常功率损耗降至最低,而这在很大程度上与电机的维护方案相关。
有关电机效率的研究表明,如果电机在不健康的状态下运行,其实际效率会低于额定效率。处于不健康状态的电机可能会长时间以低效率运行,直至发展成电机损坏并导致机器停机的严重情况,而且可能会产生大量的能量损耗。一项研究针对不同类型的轴承故障对感应电机效率的影响展开了调查。3在研究过程中,对四种类型的轴承故障进行了测试:故障1,外圈出现裂纹;故障2,外圈出现孔洞;故障3,防护挡圈变形;故障4,轴承发生腐蚀。
轴承故障类型1的示例照片如图2所示。实验装置由一台2.2 kW的三相感应电机组成,该电机由主电源控制单元供电,并与一台制动器相连。通过测量电机输入电流、电压和相位来计算电机输入功率。通过测量电机负载扭矩和转速来计算电机的输出功率。电机效率的计算方式为电机输出的机械功率与输入的电功率之比。图2展示了电机效率在不同负载条件下的变化。如图所示,轴承故障会导致在满载条件下电机效率降低1.5%,在轻载条件下电机效率降低4%。

图2.轴承故障对电机效率的影响。
研究表明,诸如转子导条故障、定子绕组故障、电机轴未对准故障、底脚松动故障、冷却风扇电机故障等电机故障,都会导致电机效率下降。4,5图3展示了不同电机故障对电机效率的影响。

图3.不同类型的电机故障对电机效率的影响。
ADI OtoSense SMS解析
OtoSense SMS是一套基于AI的硬件和软件完整解决方案,用于工业电机的状态监控(CbM)和预测性维护(PdM)。它将先进的检测技术与数据分析相结合来监测电机的状况。
该解决方案由硬件子系统和软件子系统构成,软件子系统包含一个云平台、一个网页应用程序以及一个移动应用程序。云平台搭载了基于机器学习的电机故障诊断AI算法。图4展示了OtoSense SMS系统是示意图。

图4.OtoSense SMS系统是示意图。
OtoSense SMS集成了ADI开发的多种高性能传感器,包括:
► 两个低噪声、高频率MEMS加速度计ADXL1002,用于检测x轴振动和z轴振动。
► 两个高准确度、16位数字温度传感器ADT7420,用于检测电机机壳温度和环境温度。
还包括:
► 一个磁场传感器,用于电机转速检测和电机电气故障诊断。
► 一个Wi-Fi处理器,借助2.4GHz Wi-Fi进行数据传输,负责数据收集与打包。
OtoSense SMS传感器是市面上用于检测和解读机器数据的出色解决方案。表1展示了OtoSense SMS传感器能够诊断和预测的常见电机故障:
表1.OtoSense SMS能够诊断和预测的电机故障

利用OtoSense SMS提高电机运行效率
妥善维护有助于实现最大的经济效益,因为这可以减少电机故障的发生,避免计划外的停机时间。此外,电机效率对于节约每次运行的成本起着至关重要的作用,因为高效电机相比标准效率电机,消耗的电能更少。研究表明,不同类型的故障会对机器效率产生程度各异的影响,具体故障类型包括转子故障、定子绕组不对称、绝缘系统故障、不平衡/未对准、通风系统故障等。

图5.OtoSense SMS使电机运行效率达到最优。
图5展示了使用OtoSense SMS对电机运行效率进行优化。云平台能让用户深入了解电机的运行状况和维护需求。
凭借专有的OtoSense SMS预测性维护分析,用户能够在早期阶段识别出九种最为常见的电机故障,并在故障对电机运行造成影响前完成修复。对于每种电机故障,都会计算出一个故障评分指数(FSI),用以表示电机故障的严重程度。FSI是一个介于0到10之间的数值。当FSI数值高于7时,表明电机正处于良好的运行状态;而当FSI数值介于5和7之间时,则意味着已在早期阶段察觉到电机故障,此时系统会向用户发送低严重程度的预警通知邮件。
处于预警状态的电机,虽在一定时间内仍可维持正常运转,但鉴于电机已非健康状态,运行效率会出现下滑。图6展示的示例中,电机地脚松动问题在早期便被检测出来,系统随即发出了预警通知。用户收到通知后,建议迅速采取相应的修复举措,使电机运行状态恢复至理想水平,从而让电机能够持续保持高效运转。

图6.示例展示了OtoSense SMS如何保持电机高效运行。
客户案例研究1:OtoSense SMS用于压缩机监控
压缩机是工厂中最重要的设备之一。在这个用例中,OtoSense SMS器件被安装于工厂的压缩机上,用以执行全天候的持续监测。图7显示了这个用例,其中OtoSense SMS器件安装到了一台压缩机上。

图7.OtoSense SMS传感器安装在客户工厂的压缩机上。
这台压缩机功率为400kW,每天24小时持续运转。通常,每4.5年进行一次大修。在大修之前,出现的电机故障主要是轴承故障,会使电机运行效率降低1.5%。经过试用评估,客户在所有关键压缩机上全面采用了OtoSense SMS解决方案。OtoSense SMS检测到了早期的轴承故障,并向客户发出了预警通知。客户随即采取了有效措施,成功避免了轴承受到永久性损坏,并预防了生产线意外停机。同时,由于迅速采取了修复措施,电机仅在预警状态下运行了极短时间,便恢复至正常运行状态。
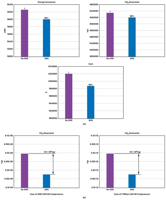
此前,在未安装OtoSense SMS的情况下,已观察到能耗和二氧化碳排放均有降低,幅度约为2%,等同于节省了约2%的生产成本。随着投入使用的压缩机数量增加,二氧化碳减排效果将愈发显著。例如,如果对100万台相同规格、功率为400 kW的压缩机进行监测,将使二氧化碳减排量达到约147×109 kgr。图8展示了使用OtoSense SMS解决方案所取得的成果。

图8.使用OtoSense SMS实现能源/成本节约及二氧化碳减排:(a) 节约/减排效果(百分比);(b) 400kW压缩机数量增加时的二氧化碳减排效果示例。
客户案例研究2:OtoSense SMS用于物料搬运系统
机场的行李传送带是一种高密度电机驱动应用。如图9所示,一套机场行李传送带系统可能由数千台电机驱动。
一般而言,这些电机的功率大多为5 HP,使用寿命通常是五年。这五年期间的电机使用成本,即总拥有成本(TCO),主要由电机采购费用、维护费用和用电费用构成(参见图9)。就具体金额而言,电机采购成本为2000美元,占总拥有成本(TCO)的5%;维护成本为8000美元,占TCO的20%;电费成本则为28,000美元,占TCO的70%。

图9.传送带驱动系统电机的TCO。
在电机使用过程中,最大的成本是电机的能耗。在上例中,如果采用OtoSense SMS使电机使用效率提高2%,并且假设机场行李传送带使用3000台电机,那么在5年时间里节省的电费总额(以美元计)为:
5年节省的电费 = 3000 × 28000 × 2% = 1,680,000美元
换算为每年的节省金额,即1680000/5 = 336,000美元,大致相当于购买168台新电机的成本。
结论
OtoSense SMS带来的显著经济效益体现为电机运行效率提升后令成本得到降低。随着众多企业将重点放在提高运营效率、减少计划外停机和实现可持续性发展上,采用状态监控和预测性维护技术已成为一种必然需求。
OtoSense SMS技术为客户提供电机状态实时监控、电机早期故障检测,并针对早期故障排查给出建议措施。及早发现并排除电机故障,不仅能避免电机意外故障和停机,还能确保电机高效运转,从而实现节能。企业要想在未来十年内提升运营效率并实现可持续发展目标,就必须落实上述所有建议。
参考文献
1 “All Motor Drives Systems Running at Maximum Efficiency”,IEA。
2 “The qGaNDrive Module”,QPT。
3 Jonathan Herrera-Guachamin和Jose Antonino-Daviu,“Laboratory Experiments for the Evaluation of the Efficiency of Induction Motors Operating Under Different Electrical and Mechanical Faults”,ECON,IEEE工业电子学会第45届学术年会,2019年。
4 Lucia Frosini、Ezio Bassi和Christian Gazzaniga,“Effect of the Bearings Faults on the Efficiency of the Induction Motors”,IEEE工业电子学会第34届年会,2008年。
5 Maeva Garcia、Panagiotis A. Panagiotou、Jose Alfonso Antonino-Daviu和Konstantinos N. Gyftakis,“Efficiency Assessment of Induction Motors Operating Under Different Fault Conditions”,《IEEE工业电子会刊》,第66卷第10期,2019年10月。
作者简介
Bin Huo于2000年加入ADI公司,曾参与电机控制器DSP、Blackfin DSP、高速ADC转换器和OtoSense智能电机传感器等方面的工作,涉及芯片系统架构设计、应用参考设计和算法开发。他在电机控制器逆变器系统设计、电机闭环控制算法、飞行时间(ToF)相机模块设计及算法开发等方面拥有丰富经验。Bin Huo拥有东京大学电气工程博士学位,在相关研发领域拥有10多项发明专利。

如何优化汽车 HVAC 设计,以在持续增长的混合动力汽车 和电动汽车市场保持优势
2023-02-26

思博伦在Interop Tokyo 2023荣获“Best of Show”金奖
2023-06-19

2023-07-03

Hitachi Vantara包揽“能源之星”认证的现有最佳存储解决方案前三甲
2024-10-15

2022-11-29

2025-06-20

2024-12-11

全国人大常委会委员、毕马威中国顾问李慧琼提交两会的部分建议内容
2024-03-05

2022-12-30

2025-05-19